The terminology comments in this calculator are given below.
Decibel (dB):A unit of magnitude defined by logarithm. For voltage values, dB is given in 20 log (VA/VB); for power values, given in 10 log (PA/PB). dBc is the dB value relative to a carrier signal; dBm is the dB value relative to 1 mW. For dBm, the load resistance in the specification must be known (eg, 1mW is supplied to 50Ω) to determine the equivalent voltage or current value.
Effective Number of Bits (ENOB): The test indicator (bit) of the analog-to-digital converter (ADC) associated with the input frequency fIN. As fIN increases, the overall noise (especially the distortion component) will increase, thus reducing ENOB and SINAD performance. See also: Signal to Noise + Distortion Ratio (SINAD). The relationship between ENOB and SINAD is:

Resolution:When the analog signal is quantized, it is represented by a finite discrete voltage level, and the resolution is the number of discrete levels used to represent the signal. In order to recover the analog signal more accurately, the resolution must be increased. Resolution is usually defined as a number of bits, and conversion with higher resolution can reduce quantization noise.
RMS:Refer to the comments on the root mean square (RMS).
Root mean square(RMS):Indicates the effective value or effective DC value of the AC signal. For a sine wave, RMS is 0.707 times the peak value or 0.354 times the peak-to-peak value.
SFDR:Refer to the note on spurious free dynamic range (SFDR).
Signal to Noise + Distortion Ratio (SINAD):In the DC to Nyquist band, the ratio of the RMS value of the sine wave fIN (for the ADC to the input sine wave, for the ADC/DAC to the reconstructed output sine wave) to the RMS value of the converter noise, including harmonics Wave component. Typical values are expressed in decibels, please also refer to the notes on root mean square (RMS) and total harmonic distortion.

Signal to noise ratio(SNR):In the DC to Nyquist band, the sine wave f
IN (for the ADC is the input sine wave, for the ADC/DAC refers to the reconstructed output sine wave) RMS value and converter noise The ratio of RMS values, except DC noise and harmonic distortion. Typical values are expressed in decibels,
see also for a root mean square (RMS) comment.

Ideally, the theoretical value of the minimum conversion noise includes only quantization noise, which can be calculated directly from the data conversion resolution:(N): SNR = (6.02N +1.76)dB
Spurious free dynamic range(SFDR):Sine wave fIN The ratio of the RMS value of the input sine wave for the ADC to the reconstructed output sine wave for the ADC/DAC and the RMS value of the spurious signal observed in the frequency domain is typically expressed in decibels. SFDR is very important in some communication systems that require maximum converter dynamic range.

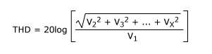
Total harmonic distortion (THD):The ratio of the RMS value of the distortion appearing at the input (DAC is the output) frequency integer multiplication point (harmonic) to the RMS value of the input (or output) sine wave. Only harmonics within the Nyquist frequency limit are included in the measurement. Typical values are expressed in decibels:

Where V
2 to V
x are the harmonics of the fundamental V
1.