Tools Category

Microstrip line characteristic impedance calculator

Transmission line impedance control is essential in the design of RF circuits and high-speed digital circuits. Microstrip lines are the most popular form of transmission line, given the microstrip linewidth, microstrip line thickness, and relative dielectric constant of PCB boards.εr ,This calculator can quickly calculate the characteristic impedance of the microstrip line Zo,And the accuracy of this calculator is no less than commercial software.

The following is the microstrip line characteristic impedance calculator (calculation software):

[diagram of PCB layers]

 

  • Relative permittivity εr
  • Microstrip line width W  mm
  • Microstrip line thickness t  mm
  • Dielectric layer thickness h  mm
  • Equivalent dielectric constant (εeff): 
  • Characteristic impedance (Zo): Ohm

The microstrip line feature impedance calculator uses JavaScript scripts to support all major browsers.


About relative dielectric constantεr Equivalent dielectric constantεeff

[calculation formula]

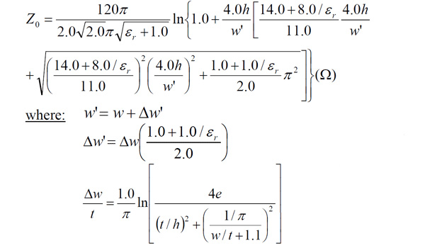
Microstrip line impedance calculation formula:

About the microstrip line characteristic impedance Zo

[calculation formula]